What is a Mutual Fund Calculator?
A Mutual Fund Calculator is an online tool that estimates the future value of your mutual fund investments. By entering details such as the investment amount, time period, and expected rate of return, you can get an approximate projection of how much your investments will be worth.
There are typically two main types of mutual fund investment calculations:
- SIP (Systematic Investment Plan) – Regular monthly investments over a fixed period.
- Lump Sum Investment – A one-time investment made at the beginning.
Both methods can generate different returns, and a good calculator will allow you to explore both scenarios.
Why Use a Mutual Fund Calculator?
Before committing to an investment, it’s wise to know the potential outcome. A Mutual Fund Calculator offers several benefits:
- Quick and Easy Calculations – No need to manually apply complex formulas.
- Financial Clarity – Understand how much your investments could grow over time.
- Goal-Based Planning – Align your investments with your financial goals, such as buying a house, funding education, or retirement planning.
- Comparison of Options – Test different investment amounts and durations to see which works best.
- Better Decision-Making – Avoid guesswork by relying on data-driven projections.
On websites like lsbtools.com, you can use a mutual fund calculator in just a few clicks, making investment planning more accessible to everyone.
How Does a Mutual Fund Calculator Work?
The working of a mutual fund calculator is based on simple mathematical formulas, but these are applied in a way that factors in compounding, which is the real engine of investment growth.
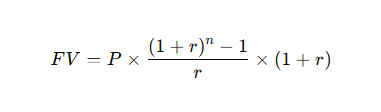
For SIP Investments
The formula used is:

Where:
- FV = Future Value of the investment
- P = Amount invested per month
- r = Expected rate of return (annual rate divided by 12)
- n = Total number of months
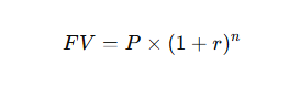
For Lump Sum Investments
The formula used is:

Where:
- P = One-time investment amount
- r = Expected rate of return per period (annual rate divided by 12 for monthly calculation)
- n = Total number of months or years
These formulas help the calculator estimate how much your investments can grow over your chosen time frame.
Example: SIP Calculation Using a Mutual Fund Calculator
Imagine you invest ₹5,000 every month for 10 years in a mutual fund with an expected annual return of 12%.
- Monthly rate (r) = 12% / 12 = 1% = 0.01
- Total months (n) = 10 × 12 = 120
- SIP amount (P) = ₹5,000
By applying the SIP formula, you can see your investment growing to a significant corpus. Instead of doing this manually, the Mutual Fund Calculator on lsbtools.com will give you the result instantly.
Features to Look for in a Good Mutual Fund Calculator
Not all calculators are created equal. When choosing a tool, look for the following features:
- SIP and Lump Sum Options – Ability to calculate returns for both investment types.
- User-Friendly Interface – Simple design with clear input fields.
- Instant Results – Immediate calculation without long loading times.
- Customizable Inputs – Freedom to change investment amount, duration, and return rate.
- Graphical Representation – Charts or graphs for better visualization.
- Mobile-Friendly Design – Accessible on smartphones and tablets.
lsbtools.com offers a clean, responsive design that works seamlessly on desktops and mobile devices, ensuring you can plan your investments anytime, anywhere.
Advantages of Using a Mutual Fund Calculator
1. Helps in Setting Realistic Goals
By knowing the projected returns, you can set achievable financial goals and work towards them without guesswork.
2. Encourages Consistent Investing
Seeing how SIP investments grow over time can motivate you to stay consistent and disciplined.
3. Reduces Risk of Overestimating Returns
Instead of assuming unrealistically high growth, the calculator provides a more balanced estimate.
4. Time-Saving
You can test multiple scenarios quickly without manual calculations.
5. Free to Use
Tools like the one on lsbtools.com are completely free, making them accessible to all investors.
SIP vs Lump Sum – Which One Should You Choose?
When using a Mutual Fund Calculator, you’ll notice different results for SIP and lump sum investments. Here’s a quick comparison:
| Feature | SIP | Lump Sum |
|---|---|---|
| Investment Type | Monthly Installments | One-Time |
| Best For | Regular income earners | Investors with large initial capital |
| Risk | Lower due to rupee-cost averaging | Higher market timing risk |
| Flexibility | High – can increase/decrease SIP amount | Low – fixed amount invested at once |
Both methods have their benefits, and the best choice depends on your financial situation and market conditions. A good calculator will let you experiment with both to see which suits your goals.
How to Use the Mutual Fund Calculator on lsbtools.com
Using the calculator on lsbtools.com is straightforward:
- Select Investment Type – Choose between SIP or Lump Sum.
- Enter Investment Amount – Monthly SIP or one-time amount.
- Enter Time Period – Number of years you plan to invest.
- Enter Expected Return Rate – Usually based on past fund performance or market averages.
- View Results – Instantly see the maturity amount, invested amount, and total gains.
- Analyze Graphs – Understand growth patterns over time.
Final Thoughts
A Mutual Fund Calculator is more than just a number-crunching tool – it’s a guide to making smarter financial decisions. Whether you’re saving for your child’s education, buying a home, or building a retirement corpus, having a clear projection of your investments helps you plan better and stay on track.
Websites like lsbtools.com make this process simple, accessible, and efficient. With just a few clicks, you can visualize your financial future, compare different investment strategies, and take confident steps toward your goals.
If you haven’t yet tried a mutual fund calculator, now is the time. The right plan today can be the foundation for a secure and prosperous tomorrow.
Frequently Asked Questions (FAQ)
What is a Mutual Fund Calculator?
A Mutual Fund Calculator is an online tool that helps investors estimate the future value of their investments based on factors like investment amount, duration, and expected rate of return. It works for both SIP and lump sum investments.
Is the Mutual Fund Calculator on lsbtools.com free to use?
Yes. The Mutual Fund Calculator available on lsbtools.com is completely free and requires no signup. You can use it as many times as you like to plan your investments.
Can a Mutual Fund Calculator guarantee returns?
No. A mutual fund calculator provides an estimate based on the inputs you provide. Actual returns may vary depending on market performance, fund selection, and economic conditions.
What is the difference between SIP and Lump Sum in mutual funds?
SIP (Systematic Investment Plan): You invest a fixed amount regularly, usually monthly.
Lump Sum: You invest a large amount at once.
The choice depends on your financial situation and investment goals.
What rate of return should I enter in the calculator?
You can enter the average historical return of the mutual fund you plan to invest in or a conservative estimate, such as 10–12% annually for equity funds, depending on market trends.
Can I use the calculator for short-term investments?
Yes. While mutual funds are generally recommended for long-term investing, you can still use the calculator to estimate returns for short-term goals like 1–3 years.
Does the calculator work on mobile devices?
Absolutely. The Mutual Fund Calculator on lsbtools.com is mobile-friendly and works smoothly on smartphones, tablets, and desktops.






