What is an RD Calculator?
An RD Calculator is an online financial tool that helps you calculate the maturity amount of your recurring deposit. When you invest a fixed amount every month in an RD account, the bank or post office adds interest based on the applicable RD interest rate. However, calculating the maturity amount manually can be complex because interest is compounded quarterly in most cases.
An RD calculator simplifies this process. You just enter:
- Monthly Deposit Amount – The fixed amount you deposit every month.
- RD Interest Rate – The annual interest rate offered by the bank or post office.
- Tenure – The number of months or years you plan to keep the RD.
Once you enter these details, the calculator instantly shows:
- The Total Investment (sum of all your monthly deposits)
- The Total Interest Earned
- The Maturity Value at the end of the RD term
Why Use an RD Calculator?
While you could calculate the RD maturity manually using a formula, it’s time-consuming and prone to errors. Here are the key reasons why using an RD Calculator is better:
- Saves Time – No need to do complex quarterly compounding math.
- Accurate Results – Eliminates human calculation errors.
- Helps in Planning – Lets you try different scenarios by changing the deposit amount, interest rate, or tenure.
- User-Friendly – Tools like the one on lsbtools.com make it easy for anyone to use, even without financial knowledge.
- Instant Calculations – See results immediately, helping in quick decision-making.
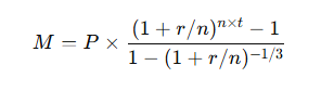
How Does an RD Calculator Work?
The formula for calculating the maturity value of an RD is:

Where:
- M = Maturity Value
- P = Monthly Deposit Amount
- r = Annual Interest Rate (in decimal form)
- n = Number of compounding periods per year (usually 4 for quarterly)
- t = Tenure in years
This formula takes into account that each deposit earns interest for a different duration, depending on when it was deposited. The RD calculator does this math automatically, so you just get the final results instantly.
Example Calculation Using an RD Calculator
Let’s say you invest ₹5,000 per month in an RD with an interest rate of 7% per annum for 3 years.
- Monthly Deposit = ₹5,000
- Interest Rate = 7% per annum
- Tenure = 3 years (36 months)
Using the RD calculator on lsbtools.com, you’ll get:
- Total Investment: ₹1,80,000
- Interest Earned: ₹19,621 (approx.)
- Maturity Value: ₹1,99,621 (approx.)
This means your RD will grow your savings by nearly ₹20,000 in interest over three years.
Features of a Good RD Calculator
Not all RD calculators are the same. A good tool should have:
- Simple Interface – Easy to use with clear input fields.
- Real-Time Updates – Shows results instantly as you type.
- Multiple Tenure Options – Allows calculations in months or years.
- Currency Flexibility – Works for different currencies, not just INR.
- Responsive Design – Mobile-friendly for on-the-go access.
- Detailed Breakdown – Displays investment amount, interest earned, and maturity value separately.
The RD calculator at lsbtools.com ticks all these boxes, making it a reliable choice for your financial planning needs.
Benefits of Using RD Calculators on lsbtools.com
When it comes to online calculators, accuracy and ease of use are crucial. lsbtools.com offers a seamless RD calculator experience with several benefits:
- Free to Use – No hidden charges or subscriptions.
- Fast Calculations – Get results instantly without delays.
- Secure – Your financial details are never stored or shared.
- Customizable Inputs – Change the deposit amount, interest rate, and tenure easily to compare options.
- Accessible Anywhere – Works on desktop, tablet, and mobile.
These features make lsbtools.com an excellent resource for anyone who wants to calculate RD maturity without hassle.
Tips for Maximizing Your RD Returns
While an RD calculator tells you the numbers, you can make smarter decisions to maximize your returns:
- Choose the Right Bank or Post Office – Compare RD interest rates before opening an account.
- Opt for Longer Tenures – Generally, longer RDs offer higher interest rates.
- Don’t Miss Deposits – Missing monthly deposits can reduce your returns.
- Reinvest the Maturity – Roll over your maturity amount into a new RD or other investment for compounding benefits.
- Check for Senior Citizen Benefits – Many banks offer higher rates for senior citizens.
By following these tips and using an RD calculator, you can plan your savings more effectively.
RD vs FD – Which is Better?
Both Recurring Deposits (RD) and Fixed Deposits (FD) are safe investment options, but they serve different purposes.
| Feature | RD | FD |
|---|---|---|
| Deposit Type | Monthly | Lump sum |
| Best For | Regular savers | Those with a large amount to invest |
| Interest Rate | Slightly lower than FD | Slightly higher than RD |
| Flexibility | Medium | Low |
| Liquidity | Can be broken with penalty | Can be broken with penalty |
If you want to save gradually, RD is better. If you have a lump sum to invest, FD may give slightly higher returns. An RD calculator helps you make the choice by showing exact maturity values.
Why RD Calculator is Essential in Today’s Financial Planning
With rising expenses and financial uncertainty, saving regularly is more important than ever. An RD is one of the simplest and safest ways to grow your savings. However, without knowing how much you’ll get at maturity, planning becomes guesswork.
That’s why an RD calculator is essential—it gives you clarity and helps you set realistic goals. Platforms like lsbtools.com provide reliable, accurate, and instant calculations, so you can focus on your savings strategy without worrying about the math.
Conclusion
An RD Calculator is a must-have tool for anyone investing in recurring deposits. It saves time, ensures accuracy, and helps in better financial planning. Whether you are saving for education, a wedding, or a big purchase, knowing your RD maturity value in advance helps you plan more effectively.
With its easy-to-use interface, instant results, and accessibility across devices, lsbtools.com stands out as a reliable platform for RD calculations. By using their RD calculator, you can take the guesswork out of your savings plan and move closer to your financial goals with confidence.
Start using an RD calculator today, and make every rupee you save work harder for you!
Frequently Asked Questions (FAQ) – RD Calculator
What is an RD Calculator?
An RD Calculator is an online tool that helps you calculate the maturity amount, interest earned, and total investment for your Recurring Deposit. It saves time and ensures accurate results.
How does the RD Calculator on lsbtools.com work?
The RD Calculator on lsbtools.com uses your monthly deposit amount, interest rate, and tenure to instantly calculate the maturity value. It applies the correct quarterly compounding formula, giving you precise figures.
Is the RD Calculator free to use?
Yes, the RD Calculator on lsbtools.com is completely free. You can use it as many times as you like without signing up.
What details do I need to use an RD Calculator?
You need three main details:
–> Monthly deposit amount
–> Annual interest rate
–> RD tenure (in months or years)
Can I use the RD Calculator for Post Office RD?
Yes, you can use the RD Calculator to estimate maturity for both bank RDs and Post Office RDs by entering the applicable interest rate.
Does the RD Calculator include tax deductions?
No, the calculator shows the gross maturity value. Any tax on interest will need to be calculated separately based on your income tax slab.
Can I calculate RD in different currencies?
Yes, the RD Calculator on lsbtools.com can work with any currency, as long as you enter the correct deposit and interest rate values.
Is the RD Calculator mobile-friendly?
Absolutely. The RD Calculator on lsbtools.com is responsive and works smoothly on desktops, tablets, and smartphones.






